Painless Activation Steering (PAS): Automated, Lightweight Post‑Training for LLM Behavior
We’re releasing “Painless Activation Steering (PAS),” a fully automated approach to steer large language models after training—without modifying weights and without hand‑crafted prompt pairs or labor‑intensive feature labeling.
Why this matters
• Post‑training options often trade precision for convenience (prompting) or cost for control (fine‑tuning, RL).
• PAS constructs a fast, lightweight activation vector you can train cheaply, store easily, and toggle on demand—bringing controllable steering closer to a “plug‑and‑play” workflow.
What’s new
• Automation: PAS consumes ordinary labeled datasets—no human‑in‑the‑loop prompt pair construction or feature annotation.
• Practicality: Designed to be quick to train and simple to deploy alongside existing pipelines.
• Compatibility: PAS stacks with In‑Context Learning (ICL) and Supervised Fine‑Tuning (SFT).
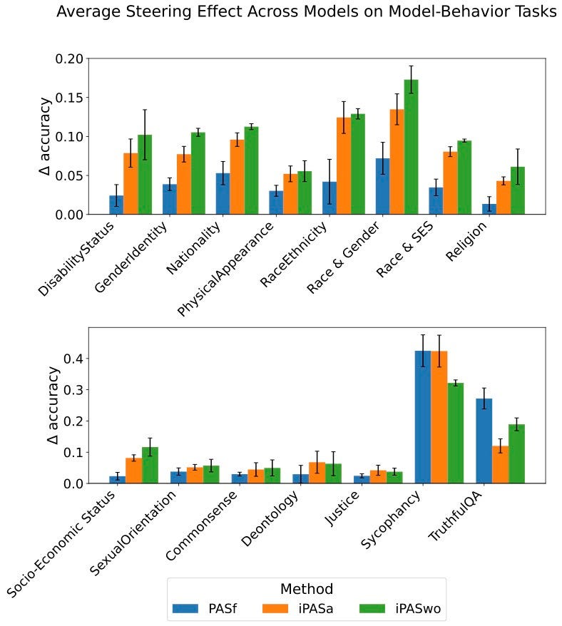
Key results
• Models: Llama‑3.1‑8B‑Instruct, DeepSeek‑R1‑Distill‑8B, Nous‑Hermes‑2
• Breadth: 18 tasks
• iPAS shows the strongest causal steering effects on behavior‑oriented evaluations:
– Bias: +10.1%
– Morality: +5.2%
– Alignment: +34.8%
• Scope: Reliable gains on behavior tasks; limited/no gains on intelligence‑oriented tasks.
Where to use PAS
• When you need inexpensive, controllable behavior adjustments without retraining model weights.
• When you want a switchable “on/off” behavior control that coexists with ICL or SFT.
• When dataset‑driven, reproducible steering is preferable to prompt tweaking.
Limitations to know
• Best for behavior shaping; don’t expect improvements on intelligence‑focused benchmarks.
• Steering effects depend on task definitions and the quality of labeled data.
Resources
• Preprint: https://arxiv.org/abs/2509.22739
• Citation: Cui & Chen (2025), “Painless Activation Steering: An Automated, Lightweight Approach for Post‑Training Large Language Models,” arXiv:2509.22739.
Feedback welcome! Tell us about deployment experiences, edge cases, and evaluation setups you’d like us to try next.
Joint work with Z. Chen.
Hashtags: AI, LLMs, Alignment, Model Steering, NLP, Post-Training



